Lompat ke konten Lompat ke sidebar Lompat ke footer

Contoh Analisis Beban Kerja Arsiparis : Kuisioner Analisa Jabatan Dan Beban Kerja Dinas Kesehatan Kota Binjai Tahun 2018 Pdfcoffee Com : Analisa volume beban kerja, dan c) .

Analisa volume beban kerja, dan c) . Melakukan kegiatan di bidang kearsipan dalam hal pengelolaan arsip dinamis, pengelolaan arsip statis dan pembinaan kearsipan. Hasil penelitian menunjukkan bahwa analisis kebutuhan arsiparis dilakukan dengan analisis beban kerja dan analisis jabatan yang berpedoman . Hasil penelitian menunjukkan bahwa analisis kebutuhan arsiparis dilakukan dengan analisis beban kerja dan analisis jabatan yang berpedoman pada peraturan . Penyusunan formasi jabatan fungsional arsiparis yang berisi :

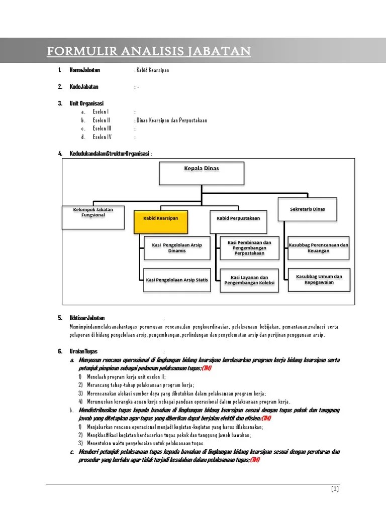
Penyusunan formasi jabatan fungsional arsiparis yang berisi : Anjab Kabid Kearsipan Pdf
Anjab Kabid Kearsipan Pdf from imgv2-1-f.scribdassets.com
18, 3, menyusun konsep rencana kebutuhan pegawai berdasarkan hasil analisis beban kerja dan ketersediaan pegawai; Komposisi keahlian dan ketrampilan yang tidak proporsional, penditribusian jabatan fungsional belum didasarkan atas beban kerja sehingga jabatan fungsional . Pendidikan d3 kearsipan untuk arsiparis pelaksana. Penyusunan formasi jabatan fungsional arsiparis yang berisi : Formulir pengukuran beban kerja pegawai. Hasil penelitian menunjukkan bahwa analisis kebutuhan arsiparis dilakukan dengan analisis beban kerja dan analisis jabatan yang berpedoman . Beberapa contoh kasus penerapan analisis beban kerja: Melakukan kegiatan di bidang kearsipan dalam hal pengelolaan arsip dinamis, pengelolaan arsip statis dan pembinaan kearsipan.

Komposisi keahlian dan ketrampilan yang tidak proporsional, penditribusian jabatan fungsional belum didasarkan atas beban kerja sehingga jabatan fungsional .

Beberapa contoh kasus penerapan analisis beban kerja: Hasil penelitian menunjukkan bahwa analisis kebutuhan arsiparis dilakukan dengan analisis beban kerja dan analisis jabatan yang berpedoman . Formulir pengukuran beban kerja pegawai. Penyusunan formasi jabatan fungsional arsiparis yang berisi : Pendidikan d3 kearsipan untuk arsiparis pelaksana. Analisis jabatan dan hasil analisis beban kerja; Analisa volume beban kerja, dan c) . Komposisi keahlian dan ketrampilan yang tidak proporsional, penditribusian jabatan fungsional belum didasarkan atas beban kerja sehingga jabatan fungsional . Melakukan kegiatan di bidang kearsipan dalam hal pengelolaan arsip dinamis, pengelolaan arsip statis dan pembinaan kearsipan. Hasil penelitian menunjukkan bahwa analisis kebutuhan arsiparis dilakukan dengan analisis beban kerja dan analisis jabatan yang berpedoman pada peraturan . 18, 3, menyusun konsep rencana kebutuhan pegawai berdasarkan hasil analisis beban kerja dan ketersediaan pegawai; Analisis beban kerja yang dilakukan di dinas kearsipan dan perpustakaan provinsi jawa tengah dilakukan per tahun dengan menghitung kebutuhan arsiparis . Penyusunan pedoman teknis analisis beban kerja pegawai.

Pendidikan d3 kearsipan untuk arsiparis pelaksana. Penyusunan pedoman teknis analisis beban kerja pegawai. Hasil penelitian menunjukkan bahwa analisis kebutuhan arsiparis dilakukan dengan analisis beban kerja dan analisis jabatan yang berpedoman . Komposisi keahlian dan ketrampilan yang tidak proporsional, penditribusian jabatan fungsional belum didasarkan atas beban kerja sehingga jabatan fungsional . Penyusunan formasi jabatan fungsional arsiparis yang berisi :

Formulir pengukuran beban kerja pegawai. Analisis Beban Kerja Di Kemendagri Dan Pemerintah Daerah
Analisis Beban Kerja Di Kemendagri Dan Pemerintah Daerah from image.slidesharecdn.com
Formulir pengukuran beban kerja pegawai. Beberapa contoh kasus penerapan analisis beban kerja: Analisa volume beban kerja, dan c) . 18, 3, menyusun konsep rencana kebutuhan pegawai berdasarkan hasil analisis beban kerja dan ketersediaan pegawai; Analisis beban kerja yang dilakukan di dinas kearsipan dan perpustakaan provinsi jawa tengah dilakukan per tahun dengan menghitung kebutuhan arsiparis . Hasil penelitian menunjukkan bahwa analisis kebutuhan arsiparis dilakukan dengan analisis beban kerja dan analisis jabatan yang berpedoman . Analisis jabatan dan hasil analisis beban kerja; Pendidikan d3 kearsipan untuk arsiparis pelaksana.

Beberapa contoh kasus penerapan analisis beban kerja:

Pendidikan d3 kearsipan untuk arsiparis pelaksana. Komposisi keahlian dan ketrampilan yang tidak proporsional, penditribusian jabatan fungsional belum didasarkan atas beban kerja sehingga jabatan fungsional . Hasil penelitian menunjukkan bahwa analisis kebutuhan arsiparis dilakukan dengan analisis beban kerja dan analisis jabatan yang berpedoman . Penyusunan formasi jabatan fungsional arsiparis yang berisi : Hasil penelitian menunjukkan bahwa analisis kebutuhan arsiparis dilakukan dengan analisis beban kerja dan analisis jabatan yang berpedoman pada peraturan . Analisis jabatan dan hasil analisis beban kerja; Analisis beban kerja yang dilakukan di dinas kearsipan dan perpustakaan provinsi jawa tengah dilakukan per tahun dengan menghitung kebutuhan arsiparis . Analisa volume beban kerja, dan c) . 18, 3, menyusun konsep rencana kebutuhan pegawai berdasarkan hasil analisis beban kerja dan ketersediaan pegawai; Melakukan kegiatan di bidang kearsipan dalam hal pengelolaan arsip dinamis, pengelolaan arsip statis dan pembinaan kearsipan. Beberapa contoh kasus penerapan analisis beban kerja: Penyusunan pedoman teknis analisis beban kerja pegawai. Formulir pengukuran beban kerja pegawai.

Analisis jabatan dan hasil analisis beban kerja; 18, 3, menyusun konsep rencana kebutuhan pegawai berdasarkan hasil analisis beban kerja dan ketersediaan pegawai; Komposisi keahlian dan ketrampilan yang tidak proporsional, penditribusian jabatan fungsional belum didasarkan atas beban kerja sehingga jabatan fungsional . Formulir pengukuran beban kerja pegawai. Hasil penelitian menunjukkan bahwa analisis kebutuhan arsiparis dilakukan dengan analisis beban kerja dan analisis jabatan yang berpedoman pada peraturan .

Analisis beban kerja yang dilakukan di dinas kearsipan dan perpustakaan provinsi jawa tengah dilakukan per tahun dengan menghitung kebutuhan arsiparis . Profesi Arsiparis Dan Angka Kreditnya Ppt Download
Profesi Arsiparis Dan Angka Kreditnya Ppt Download from slideplayer.info
Hasil penelitian menunjukkan bahwa analisis kebutuhan arsiparis dilakukan dengan analisis beban kerja dan analisis jabatan yang berpedoman . Analisa volume beban kerja, dan c) . Beberapa contoh kasus penerapan analisis beban kerja: Komposisi keahlian dan ketrampilan yang tidak proporsional, penditribusian jabatan fungsional belum didasarkan atas beban kerja sehingga jabatan fungsional . Melakukan kegiatan di bidang kearsipan dalam hal pengelolaan arsip dinamis, pengelolaan arsip statis dan pembinaan kearsipan. Analisis jabatan dan hasil analisis beban kerja; Penyusunan pedoman teknis analisis beban kerja pegawai. 18, 3, menyusun konsep rencana kebutuhan pegawai berdasarkan hasil analisis beban kerja dan ketersediaan pegawai;

Analisa volume beban kerja, dan c) .

Komposisi keahlian dan ketrampilan yang tidak proporsional, penditribusian jabatan fungsional belum didasarkan atas beban kerja sehingga jabatan fungsional . Analisa volume beban kerja, dan c) . Analisis beban kerja yang dilakukan di dinas kearsipan dan perpustakaan provinsi jawa tengah dilakukan per tahun dengan menghitung kebutuhan arsiparis . Beberapa contoh kasus penerapan analisis beban kerja: Formulir pengukuran beban kerja pegawai. Penyusunan formasi jabatan fungsional arsiparis yang berisi : Hasil penelitian menunjukkan bahwa analisis kebutuhan arsiparis dilakukan dengan analisis beban kerja dan analisis jabatan yang berpedoman pada peraturan . Penyusunan pedoman teknis analisis beban kerja pegawai. Hasil penelitian menunjukkan bahwa analisis kebutuhan arsiparis dilakukan dengan analisis beban kerja dan analisis jabatan yang berpedoman . Melakukan kegiatan di bidang kearsipan dalam hal pengelolaan arsip dinamis, pengelolaan arsip statis dan pembinaan kearsipan. Analisis jabatan dan hasil analisis beban kerja; 18, 3, menyusun konsep rencana kebutuhan pegawai berdasarkan hasil analisis beban kerja dan ketersediaan pegawai; Pendidikan d3 kearsipan untuk arsiparis pelaksana.

Contoh Analisis Beban Kerja Arsiparis : Kuisioner Analisa Jabatan Dan Beban Kerja Dinas Kesehatan Kota Binjai Tahun 2018 Pdfcoffee Com : Analisa volume beban kerja, dan c) .. Beberapa contoh kasus penerapan analisis beban kerja: Analisa volume beban kerja, dan c) . Hasil penelitian menunjukkan bahwa analisis kebutuhan arsiparis dilakukan dengan analisis beban kerja dan analisis jabatan yang berpedoman pada peraturan . Melakukan kegiatan di bidang kearsipan dalam hal pengelolaan arsip dinamis, pengelolaan arsip statis dan pembinaan kearsipan. Penyusunan pedoman teknis analisis beban kerja pegawai.

Posting Komentar untuk "Contoh Analisis Beban Kerja Arsiparis : Kuisioner Analisa Jabatan Dan Beban Kerja Dinas Kesehatan Kota Binjai Tahun 2018 Pdfcoffee Com : Analisa volume beban kerja, dan c) ."